Abstract
Introduction: Adult T-cell leukemia/lymphoma (ATLL) is a rare type of lymphoma that is often aggressive with poor survival. The majority of cases cluster in regions with high rates of endemic human T-lymphotropic virus type 1 (HTLV-1) because chronic infection is necessary for the development of ATLL. ATLL is rare in the US, with most cases occurring in immigrants from endemic regions. Although treatment data exist from Japan, some of the agents evaluated are not available in the US. Because of limited prospective data in the US, there is no well-defined standard of care.
Brentuximab vedotin (BV) is a CD30-targeting antibody-drug conjugate that has been shown to be effective even in lymphomas with very low CD30 expression (Jagadeesh, JCO, 2019). Studies have shown 36% to 50% of ATLL cases will express CD30. CD30 may be associated with worse survival in acute ATLL, making it an important therapeutic target. BV has been studied in combination with a CHP (cyclophosphamide, doxorubicin, prednisone) backbone for the treatment of CD30 expressing PTCL. ATLL patients were eligible for the study, but only 7 patients were enrolled (Horwitz, Lancet, 2019). BV-CHEP has been studied in CD30 expressing PTCL and was shown to be safe and effective (Herrera, Blood, 2019). No ATLL patients were enrolled prior to the preliminary report.
We developed a prospective, multicenter pilot study evaluating BV in combination with cyclophosphamide, doxorubicin, etoposide, and prednisone (BV-CHEP) for the treatment of ATLL. We report the interim safety and efficacy analysis of the first 8 patients treated on this study.
Methods: Adult patients from 5 centers (UNC Chapel Hill, Boston Medical Center, Massachusetts General Hospital, Beth Israel Deaconess Medical Center, and Moffitt Cancer Center at Memorial Healthcare System) were enrolled from October 2017 until present. Newly diagnosed ATLL cases were eligible, including the acute, lymphomatous and chronic unfavorable subtypes. Patients did not have to express CD30 to be enrolled on the study. Patients could go on to frontline consolidation with allogeneic stem cell transplant per provider preference at any time after 2 cycles of BV-CHEP. Transplant-ineligible patients completed a total of 6 cycles of BV-CHEP and those who expressed CD30 were eligible for BV maintenance, whereas those without CD30 expression entered follow-up. Patients could receive prephase steroids and/or 1 cycle of CHOP-equivalent chemotherapy prior to enrollment. Prior antiviral therapy was allowed. Patients were treated with standard dosing every 21 days: BV 1.8 mg/kg on day 1, cyclophosphamide 750 mg/m2 on day 1, doxorubicin 50 mg/m2 on day 1, etoposide 100 mg/m2 days 1-3, and prednisone 100mg days 1-5. All patients received GCSF support. The primary endpoint was complete response (CR) by PET-CT after at least 2 cycles of therapy per adapted Lugano and ATLL criteria. Secondary endpoints were safety, overall response rate (ORR), progression free survival (PFS) and overall survival (OS).
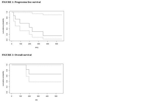
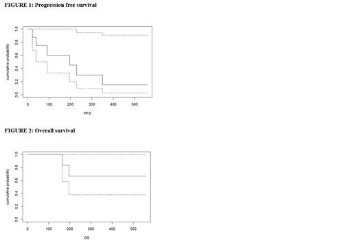
Results: 8 patients were enrolled and were evaluable for interim safety and efficacy analysis. All patients were HTLV-1 positive; 4 of 8 (50%) were acute type and 4 of 8 were the lymphomatous type. 4 of 8 patients had CD30 expression. The median age was 56 (range 38 to 68) and 7 of 8 (87.5%) were female. 6 of 8 patients identified as Black (Antigua and Barbuda N=1, Haiti N=4, US N=1), 1 identified as Asian (Japan) and 1 patient identified as Hispanic (Colombia). All patients were advanced stage (7 of 8 stage IV; 1 stage III). Five of 8 patients completed at least 4 cycles of treatment (median 4 cycles; range 2 to 6). After at least 2 cycles of BV-CHEP, 4 of 8 patients achieved a CR (50%). An additional 2 patients achieved a PR, for an ORR of 75%. The median PFS was 196 days (Fig.1) and the median OS was not reached (Fig.2). When CD30 expressing patients (N=4) were compared to non-expressing patients (N=4), there was no significant difference in median PFS or OS. The regimen was well-tolerated with grade 3 mucositis occurring in 3 patients, grade 3 hypertension in 2 patients, and grade 3 rash in 1 patient. No patients had to come off study due to toxicity. Three patients received consolidation allogeneic transplant. No patients received maintenance BV.
Conclusions: In this interim analysis, BV-CHEP chemotherapy was safe and effective in the treatment of aggressive ATLL. We look forward to reporting the final results once the study completes accrual.
Dittus: BeiGene: Other: Advisory Board; Seattle Genetics: Research Funding; AstraZeneca: Research Funding; Genentech: Research Funding. Sandoval-Sus: SeaGen, Janssen, MassiveBio, TG: Other: Advisory Board; BMS: Other: Advisory Board, Speakers Bureau. Sloan: Stemline: Honoraria; Abbvie: Honoraria; Astra Zeneca: Membership on an entity's Board of Directors or advisory committees; Pharmacosmos: Membership on an entity's Board of Directors or advisory committees.
Brentuximab vedotin will be used in CD30- ATLL patients.

This feature is available to Subscribers Only
Sign In or Create an Account Close Modal